Generator Sound Pressure Level Calculations

Roger Rosborough
Market Development Consultant
Caterpillar Northern Ireland

November 2016

INTRODUCTION

Noise levels of a generator set can be an influential factor in purchasing decisions depending on the customer, application and code requirements. In order to accurately present the sound pressure level of a generator set, the manufacturing company records sound pressure levels at fixed distances around the periphery of the generator set and averages them. However, it is critical for manufacturers to calculate the logarithmic mean of the peripheral measurements, not the arithmetical mean, which would be mathematically incorrect and may cause the generator set to appear quieter on paper than it is in practice.

CALCULATING THE LOGARITHMIC MEAN

The human ear perceives sound as a vibration of the eardrum, which results from an incremental variation in air pressure at the ear. A variation in pressure relative to atmospheric pressure is called sound pressure measured in units of Pascal (Pa). The frequency of the sound is the number of pressure variations per second, measured in Hertz (Hz), where the normal audible frequency range is 20-20,000 Hz. Given that the human ear can perceive a very wide range of sound pressure, expressing sound in typical pressure measures such as Pa can be rather inconvenient. That is because the sounds a human may hear range from barely perceptible at 20 μPa to the lift-off of a rocket at 2,000,000 μPa. Sound pressure levels are therefore described logarithmically in units called decibels (dB). In so doing, it compresses the large range of typical sound pressures into a smaller, more practical scale, which also closely parallels the human ear’s ability to judge relative loudness of sounds. It is important to note that dB values are not absolute values but are a relative measurement or ratio. The sound pressure level (Lp) can be calculated using the following equation:

where pref = 2 x 10-5 Pa.

of

 

The human ear is most sensitive to frequencies from 500-6000 Hz and least sensitive toward the extremes of the audible range, therefore it is more meaningful to “weight” the sound measurement appropriately for comparative purposes. The standard “A” weighting is widely used for this and sound values that have been “A” weighted are expressed as dBA.

Generator set manufacturers measure and report sound pressure levels at fixed distances from the generator set. Frequently, sound pressure levels are reported at a distance of seven meters from the generator set. At a minimum, four positions are used (front, back, left and right) to measure sound pressure and enable an overall representative mean value to be calculated.

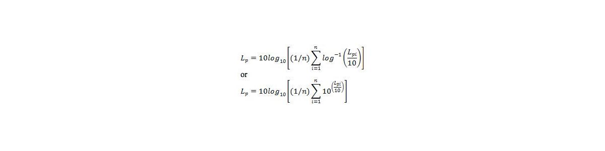
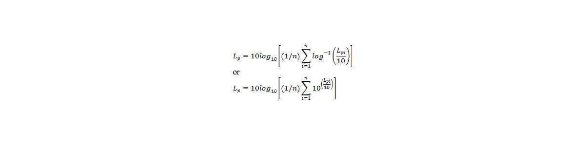
Taking an arithmetic mean of the sound pressure levels around the generator set may seem reasonable, but it is mathematically incorrect to do so because, as mentioned above, sound pressure levels are typically described as logarithmic values. The equations for calculating the mean sound pressure level, Lp, from a set of n sound pressure levels are:

 

of

 

Besides being mathematically incorrect, taking an arithmetic mean of sound pressure levels will normally return a lower overall sound pressure level than if the logarithmic mean had been correctly calculated using the equations above. This is particularly noticeable in cases where there is a relatively large variation in the measurements, which can often be observed when comparing the front and back measurements. Using an erroneous arithmetic mean rather than the logarithmic mean when designing a generator set installation could result in permitting issues and penalties for the generator set operator.

230 ekW, 60 Hz GAS GENERATOR SET EXAMPLE

Here is an actual example of generator set sound pressure level measurements at seven meters:

of
of

Notes:
1. All positions 23 ft (7M) from side faces of generator set.
2. Generator operating at full load.
3. Test conducted on a 100 foot diameter asphault surface.

As shown, measurements were taken from four positions (front, back, left and right) and the logarithmic mean is calculated at 93.0 dBA at seven meters.

If the same values were calculated using the arithmetic mean, the result would be a sound pressure level of 90.5 dBA at seven meters. This is clearly lower than the logarithmic mean and would not be the actual sound pressure level experienced on-site.

 

CONCLUSION

To truly understand the overall sound pressure level in dBA from a generator set, points from all sides should be measured rather than a single data point. Additionally, the overall sound pressure levels should be calculated correctly using a logarithmic mean instead of an arithmetic mean as the latter can result in a falsely low reported noise level. Therefore, it is crucial for customers to know the logarithmic sound pressure when specing a new generator set in order to avoid potential permitting issues and penalties associated with high noise levels.

About the Authors

Roger Rosborough is a market development consultant at Caterpillar Northern Ireland.

of

Download White Paper

Download Now

Electric Power White Papers

Click to view list of Electric Power White Papers